當前位置:首頁>>91嫩草国产在线观看www免费資訊
活塞式壓力計計量引入差壓91视频最新地址的測量方法介紹
發表時間:2019-04-21| 聯係電話:15601403222 、 13915181149
摘 要:活塞式壓力計作為一個壓力量量值傳遞的重要計量標準裝置,其重要性可想而知。但是活塞式壓力計的計量過程對操作者的實際操作等一係列經驗積累水平有非常高的要求,且繁雜的操作過程會造成計量工作者的主觀意願引入其他誤差,影響量值傳遞的準確性。尤其是在活塞調平這一過程中,沒有相當的經驗積累和活塞式壓力計操作手感是根本無法完成的。針對這一難題引入差壓91视频最新地址到活塞式壓力計的計量過程中,簡化操作過程,使活塞式壓力計的計量更容易被學習和掌握,保證壓力量量值傳遞的準確可靠。
引 言
壓力計量基準器為國家壓力基準裝置,國家壓力基準裝置主要由一套相同結構的5個活塞係統組成 。壓力工作基準也由0.005級活塞式壓力計構成,其次有0.01級活塞式壓力計、0.02級活塞式壓力計、 0.05級活塞式壓力計以及其他壓力計量器具構成了壓力計量器具檢定係統表。活塞式壓力計具有測量範圍寬、測量準確度高、結構簡單計量性能穩定、易於量值溯源等優勢。其作為壓力標準在壓力量量值傳遞中的地位也就可想而知了。因此活塞式壓力計的計量也就變得尤為重要。
1 活塞壓力計簡介
活塞式壓力計是根據帕斯卡原理、流體靜力學平衡原理為基礎進行壓力計量的 。活塞式壓力計主要有活塞係統(活塞和活塞筒組成)、專用砝碼和校驗器3大部件組成。活塞係統作為活塞式壓力計的核心部件,活塞和活塞筒是活塞式壓力計核心數據———活塞有效麵積的來源;專用砝碼是根據活塞有效麵積與使用地重力加速度經過計算,加工的具有固定質量用於複現標準壓力值的圓盤型砝碼 ;校驗器也稱為造壓泵或壓力計底座,主要由壓力泵、連接管和閥門組成,用於安裝活塞係統且有造壓功能的裝置。
活塞式壓力計壓力產生的原理如式(1 )所示:P =mg/ A e (1 )
式中: P 為活塞產生的壓力; m 為專用砝碼的質量;g 為使用地的重力加速度; A e 為活塞的有效麵積。
2 活塞式壓力計的計量
結合 JJG59 - 2007 《活塞式壓力計檢定規程》的要求,活塞式壓力計的計量檢定是在相應的環境條件下(不同準確度等級都有與之對應的溫度和濕度要求)進行的,檢定項目主要包括外觀檢查、活塞係統檢查、專用砝碼和稱重盤檢查、活塞有效麵積測量、專用砝碼質量測量、垂直度測量、活塞轉動延續時間測量、活塞轉動下降速度測量、鑒別力測 量、密 封 性 檢 測、活 塞 有 效 麵 積 周 期 變 化 率 判定 。其中活塞有效麵積測量是整個活塞式壓力計的計量檢定的核心工作。本文主要針對活塞有效麵積測量進行研究。
2.1 活塞有效麵積測量
活塞有效麵積測量主要包括直接平衡法和起始平衡法兩種 。
直接平衡法:
1 )確定標準活塞式壓力計與被檢活塞式壓力計的活塞及其連接件質量;
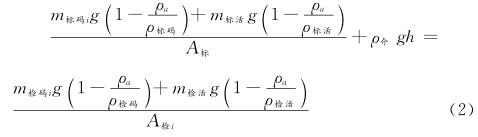
2 )測量兩套活塞式壓力計參考平麵的高度差; 3 )開始平衡點的測量,*平衡點壓力值一般 選 擇 活 塞 式 壓 力 計 測 量 範 圍 上 限 的 10% ~20% ,分別在兩套壓力計上加載相應的專用砝碼,校驗器加壓使標準與被檢活塞式壓力計都升至工作位置,此過程中兩套壓力計均應以 30~60r / min 的速度順時針轉動保持在各自的工作位置。如不平衡,在上升活塞上加載相應的小砝碼,直至平衡。然後以同樣辦法依次升壓、降壓測量其他檢定點,檢定點一般不少於 5 個。根據測量數據計算得到被檢活塞的有效麵積。直接平衡法的平衡原理如式(2 )所示:

式中: m 標碼 i 為第 i 個平衡點標準活塞式壓力計加載的標準砝碼質量; m 檢碼 i 為第 i 個平衡點被檢活塞式壓力計加載的標準砝碼質量; m 標活 為標準活塞式壓力計活塞及其連接杆質量; m 檢活 為被檢活塞式壓力計活塞及其連接杆質量;ρ 標碼為標準活塞式壓力計加載砝碼的密度;ρ 檢碼 為被檢活塞式壓力計加載砝碼的密度;ρ 標活 為標準活塞式壓力計活塞及其連接杆平均密度;ρ 檢活 為被檢活塞式壓力計活塞及其連接杆平均密度;ρ a 為空氣密度; ρ 介 為活塞式壓力計使用介質的密度; A 標 為標準活塞式壓力計的有效麵積;A 檢 i 為第 i個平衡點計算得到的被檢活塞式壓力計的有效麵積;g 為當地重力加速度;h 為標準活塞式壓力計與被檢活塞式壓力計工作位置的高度差(標準活塞式壓力計工作位置高度減去被檢活塞式壓力計工作位置高度)。被檢活塞式壓力計的有效麵積平均值為*終的被檢活塞式壓力計的有效麵積如式(3 )所示:

式中:n 平衡點的測量次數。
起始平衡法:
1 )起始平衡點的確定,一般選擇活塞式壓力計測量範圍上限的 10%~20% 壓力值的點作為起始平衡點,分別在兩套壓力計上加載相應數量的砝碼,校驗器加壓使標準與被檢活塞式壓力計都升至工作位置,此過程中兩套壓力計均應以 30~60r / min 的速度順時針轉動保持在各自的工作位置,如不平衡,在上升活塞上加載相應的小砝碼,直至平衡。起始平衡後,壓力計上加載的所有砝碼作為起始平衡質量,保持不變;
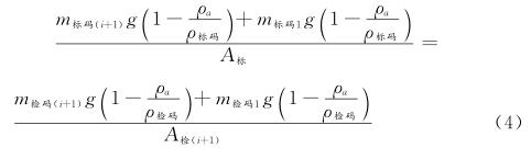
2 )以同樣辦法依次升壓、降壓測量其他檢定點,檢定點一般不少於 5 個。根據測量數據計算得到被檢活塞的有效麵積。起始平衡法的平衡原理如式(4 )所示,

式中: m 標碼(i +1 ) 為第( i +1 )個平衡點標準活塞式壓力計加載的標準砝碼質量; m 檢碼(i +1 ) 為第( i +1 )個平衡點被檢活塞式壓力計加載的標準砝碼質量; m標碼1為起始平衡點標準活塞式壓力計加載的標準砝碼質量; m檢碼1為起始平衡點被檢活塞式壓力計加載的標準砝碼質量;ρ 標碼 為標準活塞式壓力計加載砝碼的密度;ρ 檢碼 為被檢活塞式壓力計加載砝碼的密度;ρ a 為空氣密度; ρ 介 為活塞式壓力計使用介質的密度; A 標 為標準活塞式壓力計的有效麵積;A 檢( i +1 ) 為第(i +1 )個平衡點計算得到的被檢活塞式壓力計的有效麵積;g 為當地重力加速度。
被檢活塞式壓力計的有效麵積平均值為*終的被檢活塞式壓力計的有效麵積如式(5 )所示:

式中:n 為平衡點的測量次數。
2.2 常用方法的弊端
兩種測量方法的關鍵都是每個檢定點通過在上升活塞上加載小砝碼的方式,使兩套活塞式壓力計同時達到各自的平衡位置(工作位置)。這也是在實際操作過程中的難點,其主要依靠活塞位置指示裝置來實現的,活塞位置指示裝置*常用的有燈影位置指示和電磁位置指示兩種。長時間盯著燈影或指示表針,而且要用調整砝碼的方法使燈影或指示表針在每個檢定點上都達到固定的指示位置視為是達到每套活塞的各自平衡位置。此過程中存在的問題包括:
1 )長時間盯著燈影或指示表針進行調整,會對調整者造成視覺疲勞,進而引入誤差;
2 )目測燈影或指示表針的方法,自身讀數存在誤差較大,操作者的主觀意願影響也會引入一定誤差;
3 )目測燈影或指示表針的方法調整過程中,由於沒有明確的壓力值指示,不能實現快速調整砝碼質量達到每套活塞各自平衡位置。加之存在活塞下降速度的影響,會出現需要反複加壓使活塞達到工作位置。沒有長時間的活塞計量檢定經驗和活塞調整手感就很難調整出每套活塞各自平衡位置。
以上問題就造成了,活塞式壓力計的計量需要有豐富的經驗積累和很好的活塞調整手感的計量工作者才能進行,對於隻有理論知識積累而實際操作經驗積累不是很充分的計量工作者來說這項工作就變的非常困難。
2.3 差壓91视频最新地址的應用
差壓91视频最新地址在活塞式壓力計計量中應用示意圖如圖1 所示,在測量每一個平衡點時方法測量如下。
1 )打開平衡閥,上兩套活塞的介質達到連通狀態,差壓91视频最新地址指示為0 (可以是電流輸出 mA 顯示 4.000 或壓力輸出 kPa 顯示 0.000 )。
2 )在標準活塞係統和被檢活塞係統上加載對應砝碼,然後使用任意一個校驗器對於連通的兩套活塞係統進行加壓,使其中一個活塞係統達到活塞指示裝置指示的工作位置(以 30~60r / min 的速度順時針轉動),另外一個活塞係統稍微超出工作位置。
3 )關閉平衡閥,在超出工作位置的活塞係統上加載小砝碼,差壓91视频最新地址會有數值顯示上的變化,隨即調整加載砝碼一側的校驗器,兩者交替操作,使被調整的活塞係統達到工作位置(以 30~60r / min 的速度順時針轉動),同時差壓91视频最新地址指示為 0 。
4 )打開平衡閥,標準活塞係統和被檢活塞係統都處於工作位置(均以30~60r / min的速度順時針轉動),對以上方法進行驗證,在原始記錄上記錄該點加載砝碼質量。依據以上方法再進行下一平衡點的測量。直至完成每一個平衡點的測量,處理數據就可以得到被檢活塞係統
的活塞有限麵積 。
使用此方法在活塞式壓力計計量中的應用主要有以下注意事項:
1 )差壓91视频最新地址的選型,相同準確度等級的壓力91视频最新地址,量程越大,誤差越大;量程越小,可操作範圍越小 。所以在差壓91视频最新地址誤差符合被計量活塞式壓力計精度要求的情況下,量程越大,可操作範圍越大,越便於使用,操作更簡單、更安全。
2 )差壓91视频最新地址的安裝,差壓91视频最新地址必須設置有一個相對固定安裝平台,使差壓91视频最新地址的安裝在測量過程中不發生位置變化,不存在外力影響,保證輸出結果的準確性 。
3 應用比對
為了直觀得到應用差壓91视频最新地址的方法在活塞有效麵積測量中的優勢,對本計量機構 2~3 月份的活塞式壓力計的計量任務進行了分配和統計,在兩個月內的活塞式壓力計計量任務中,活塞有效麵積測量分別隨機規定測量方案(常用方法或應用差壓91视频最新地址方法),並對測量用時情況進行了統計,如表 1 所示。表 1 中 A 為壓力計量工作 20年以上的計量工作者,具有熟練操作水平和豐富測量經驗; B 為壓力計量工作 6 年的計量工作者;C 為壓力計量工作剛 1 年的計量工作者。
表1中 ∞ 表示使用對應方法進行測量,但長時間無法完成此項工作。由表1可知在活塞有效麵積測量中引入應用差壓91视频最新地址的方法不但極大的提高了工作效率,而且使活塞有效麵積測量操作變的更直觀,易於掌握 。
4 結 論
差壓91视频最新地址應用於活塞壓力計的計量中主要可以幫助新進的計量工作者迅速掌握活塞式壓力計計量的操作方法,快速上崗,快速上手工作;可以簡化活塞式壓力計計量中,活塞係統平衡調整中繁雜的工作量;可以避免長時間盯著活塞位置指示裝置而引起操作者主觀因素引入的誤差。因此差壓91视频最新地址在活塞式壓力計計量中的應用很有必要在計量部門進行大麵積推廣。
受歡迎產品
- 液位壓力91视频最新地址
- 壓差91视频最新地址
- 法蘭式液位91视频最新地址
- 靜壓式液位91视频最新地址
- 一體化溫度91视频最新地址
- 壓力液位91视频最新地址
- 隔膜壓力91视频最新地址
- 3051壓力91视频最新地址
- 衛生型壓力91视频最新地址
- GPRS無線遠傳壓力|差壓|液位|91视频最新地址,液位計
- 單法蘭液位91视频最新地址
- 防腐投入式液位91视频最新地址
- 差壓液位91视频最新地址
- 磁翻板液位91视频最新地址
- 雙法蘭液位91视频最新地址
- 浮球液位91视频最新地址
- 電容式液位91视频最新地址
- 差壓91视频最新地址
- 電容式液位計
- 微壓差91视频最新地址
*新資訊文章
- 液位計的聯鎖值低於報警值是否不合理?
- 針對雙法蘭液位計膜片保護的安裝改造方法詳解
- 工業自動化設備中常用的壓力91视频最新地址
- 壓力傳感器的分類、特點以及用途
- 在稠油熱采平台中如何對壓力91视频最新地址選型及安裝的研究
- 智能液位91视频最新地址在製漿造紙中的使用說明及維護方法
- 液位91视频最新地址在製漿紙中的應用和維護情況介紹
- 壓力91视频最新地址常見故障的四點解決對策
- 加壓鍋爐汽包中利用差壓91视频最新地址測量封閉水箱水位的調試過程
- 浮球液位91视频最新地址的產品原理及使用時的注意事項
- 關於生產衛生型壓力91视频最新地址的衛生級設計的**性要求
- 當使用平膜壓力91视频最新地址時出現以下誤差是無法避免的
- 壓力91视频最新地址與壓力傳感器有什麽不同
- 壓力91视频最新地址常見問題排查5點方法
- 簡述單法蘭與雙法蘭液位91视频最新地址區別有哪些?
- 為什麽壓力91视频最新地址的信號輸出常用的是4-20mA dc的原因分析
- 簡述電容式、擴散矽、陶瓷式微差壓91视频最新地址的區別
- 國內液位91视频最新地址產業的發展趨勢
- 電容式壓力91视频最新地址的應用範圍及產品特點介紹
- 決定電容式壓力91视频最新地址的選型的幾個關鍵參數要求及相應方法











