當前位置:首頁>>91嫩草国产在线观看www免费資訊
不同安裝方式對於壓力/差壓液位91视频最新地址液位測量精度的影響
發表時間:2019-05-11| 聯係電話:15601403222 、 13915181149
火力發電廠的凝汽器水位、除氧器水位、汽包水位、高低加水位等等,在生產過程中都必須進行嚴格監視和調整。水位測量準確與否,直接關係到水位的自動調整和準確保護設備。目前使用的水位測量壓力/差壓液位91视频最新地址大部分是智能型,技術比較成熟,測量精度高,但傳統的安裝方式卻使液位測量存在諸多弊端,給設備的安全經濟運行造成不利影響,為此,對液位測量91视频最新地址的安裝方式應予以探討和改進。
1.壓力/差壓液位91视频最新地址測量水位的原理
壓力/差壓液位91视频最新地址是一個很**的名詞,從詞義上理解就是“轉變、傳送的儀器”。在工業生產中,91视频最新地址的作用是將被測介質的物理過程量,轉變為標準電量(0~5V/4~20mA等),然後傳送到相應的控製監視係統。
在火力發電廠中使用為**的液位測量壓力/差壓液位91视频最新地址是壓力/差壓91视频最新地址。其結構多種多樣,有電容式的,有擴散矽型等等,但基本測量原理是一致的。即利用液體的壓強公式P=pgh進行計量。式中:P為壓強;ρ為液體密度,對於某一溫度下的液體,ρ基本上是不變的,如果介質溫度變化範圍較大,可通過溫度補償修正;g為重力加速度,對於某一地區,g為一固定值;h為液體的高度或稱液位。因此,壓力/差壓液位91视频最新地址測量液體的高度h(液位),實際上是通過測出不同液位產生的不同壓力(壓強)P來計算得到的。
壓力/差壓液位91视频最新地址安裝及測量原理如圖1所示,91视频最新地址兩端測量到的差壓值△P=(P氣體+pgH)-P氣體=ρgH。通過換算(有時加上必要的零點遷移),91免费在线视频就可以得到需要的容器內液位高度值h。
2.壓力/差壓液位91视频最新地址安裝方式對測量精度的影響
從壓力/差壓液位91视频最新地址液位測量原理上來看是很簡單的,但實際上因工況的複雜性,會有許多因素影響水位測量的準確性。在火電廠,容器內大都是高溫、高壓的液態水,由於蒸發作用,容器上部不是非凝結性的氣體而是遇冷會凝結的蒸汽,因此汽側取樣管內很容易形成凝結水,這樣就會在91视频最新地址的汽側產生1個附加的壓力,91视频最新地址兩端測量到的差壓值就變成△P=(P氣體+ρgH)-(P氣體+P凝結)<ρgH,即測量液位值比實際液位值小。
若壓力/差壓液位91视频最新地址安裝位置不當,可能造成水側取樣管與汽側取樣管的溫度相差較大,由於壓力/差壓液位91视频最新地址結構的原因,就會造成較大的水位測量誤差。又如水側取樣管的垂直部分產生了氣泡並附著在管壁上形成空段,那麽因為H 針對上述情況,火電廠對於高溫、高壓容器內液位的測量,雖然采取了多種安裝方式,但到目前為止還沒有一種方法能完全解決因為蒸汽凝結等現象帶來的種種問題。
3.壓力/差壓液位91视频最新地址安裝實例分析及措施
1)定子冷卻水箱水位的測量
定子冷卻水箱屬於低溫、低壓容器。當前各火力發電廠普遍采用的壓力/差壓液位91视频最新地址測量水位的安裝方式如圖2a所示。在正常工況下,氣側取樣管充滿氣體,但當水位超過容器頂部很高時,水的過高壓力足夠壓縮氣側取樣管的空氣,使水進入B段取樣管,致使壓力/差壓液位91视频最新地址測量到的差壓減小,顯示的水位也偏低,從而給出錯誤的信息。
常規的解決方法是在取樣管下部加裝一個儲水罐,但一旦水開始進入氣側取樣管,很快就可以填滿儲水罐,並進而填滿氣側取樣管,導致測量錯誤因此,可將儲水罐移到氣側取樣管A段,其作用由儲水改為增壓,如圖2b所示,其原理如下:
設氣側取樣管內徑ф14mm,長度為5000mm,則氣側取樣管的容積為769690mm。如果91免费在线视频選擇內徑為ф140mm,高度為100mm的增壓罐,則增壓罐的容積為1539380mm,是氣側取樣管容積的2倍。即使水位大大超過水箱頂部,水要進入氣側取樣管B段,也必須將增壓罐內的空氣全部壓入氣側取樣管。根據氣體公式PV/T可知,由於氣體體積壓縮至原來的1/3,壓強則要增至原來的3倍。若在正常工況下,氣側取樣管與水箱上部氣體相通時,氣體的壓力高於大氣壓力P。,則水要進入B段取樣管,H段的水壓必須大於2P。,那麽H的高度必須大於20m,這種情況在火電廠是不會出現的。而當水位回複正常時,增壓罐內的水則流入水箱,氣側取樣管仍保持通暢,與水箱上部相通,無需排汙。經上述改造,定子冷卻水箱水位測量準確,達到了預期效果。
2)汽包水位的測量
汽包屬於高溫、高壓容器,目前一般采用平衡容器的安裝形式,見圖3a。
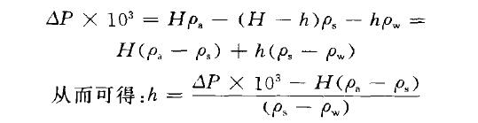
由於汽包內的水密度不是標準狀態下的密度,所以必須對測量出來的液位根據壓力(汽包內是飽和蒸氣,壓力與溫度對應)進行修正。同時,因為平衡容器和汽側取樣管的參比水柱H的密度與汽包內的水密度也不一樣,故還需要對此進行補償。根據國電公司25項重要反措給出的汽包水位測量公式:
式中:Pa為參比水柱平均水溫時的密度;Ps為飽和蒸氣密度;Pw為飽和水密度,kg/m3。
由於參比水柱H的溫度較高,其密度受環境溫度的影響,很難給出一個準確值,所以隻能用平均水溫(60℃左右)時的密度來代替,這就給測量帶來一定的誤差。而更重要的是,在實際運行中,91免费在线视频發現:因為露天環境的影響,A、B側平衡容器的溫度可以相差幾十度,致使同一時間內,兩側水位測量值出現較大偏差(達到80mm)。究其根本原因是因為,這種傳統安裝方式的汽側需要蒸汽凝結成水後,提供一個固定的參比水柱,因此平衡容器不可能安裝得離汽包太遠,而且L段的取樣管不能太細,以免形成水柱。
針對以上情況,設計了如圖3b所示的安裝方式:將壓力/差壓液位91视频最新地址的位置放到與汽側取樣管平齊,汽側取樣段采用普通的ф14mm或ф16mm的取樣管,並有一微小的朝下角度。壓力/差壓液位91视频最新地址遠離汽包,使得汽側取樣管有足夠的長度來冷卻蒸汽,汽側取樣管中的水柱,因為沒有高度,所以不會對壓力/差壓液位91视频最新地址產生壓強。水側取樣管的段實際上與汽側取樣管是平齊的。依圖安裝後,第1次的投入使用步驟如下:
首先鍋爐上水,汽包內有0.2~0.5MPa壓力後,打開壓力/差壓液位91视频最新地址本體上的排汙口。讓汽包內的水填滿水側取樣管,並從壓力/差壓液位91视频最新地址的排汙口流出,此時關閉91视频最新地址本體排汙口。這樣,由於排汙口已封閉,即使汽包內的水位下降到取樣口以下,水側取樣管內的水也不會流回汽包。這就給91视频最新地址提供了一個固定的參比水柱H。因該參比水柱不是依靠蒸汽凝結形成的,因此隻要合理選擇D段長度可使參比水柱的溫度等於環境溫度,基本上是穩定的。
此外,因為不再需要安裝平衡容器,其受環境溫度影響的問題也就不再存在。
該安裝方式也適合除氧器的水位測量。安裝時應注意的事項及其優點如下:
(1)保證汽側取樣管內有水柱,並有足夠的長度,避免壓力/差壓液位91视频最新地址兩側測量介質出現溫度差,壓力/差壓液位91视频最新地址的壓力傳感部分對溫度是很敏感的。
(2)水側取樣管內如果出現了氣泡,隻要它上升到了段,就不會對測量產生影響。
(3)此種安裝方式的幹擾因素少於平衡容器安裝方式,擁有更高的測量精度。

1.壓力/差壓液位91视频最新地址測量水位的原理
壓力/差壓液位91视频最新地址是一個很**的名詞,從詞義上理解就是“轉變、傳送的儀器”。在工業生產中,91视频最新地址的作用是將被測介質的物理過程量,轉變為標準電量(0~5V/4~20mA等),然後傳送到相應的控製監視係統。
在火力發電廠中使用為**的液位測量壓力/差壓液位91视频最新地址是壓力/差壓91视频最新地址。其結構多種多樣,有電容式的,有擴散矽型等等,但基本測量原理是一致的。即利用液體的壓強公式P=pgh進行計量。式中:P為壓強;ρ為液體密度,對於某一溫度下的液體,ρ基本上是不變的,如果介質溫度變化範圍較大,可通過溫度補償修正;g為重力加速度,對於某一地區,g為一固定值;h為液體的高度或稱液位。因此,壓力/差壓液位91视频最新地址測量液體的高度h(液位),實際上是通過測出不同液位產生的不同壓力(壓強)P來計算得到的。
壓力/差壓液位91视频最新地址安裝及測量原理如圖1所示,91视频最新地址兩端測量到的差壓值△P=(P氣體+pgH)-P氣體=ρgH。通過換算(有時加上必要的零點遷移),91免费在线视频就可以得到需要的容器內液位高度值h。

2.壓力/差壓液位91视频最新地址安裝方式對測量精度的影響
從壓力/差壓液位91视频最新地址液位測量原理上來看是很簡單的,但實際上因工況的複雜性,會有許多因素影響水位測量的準確性。在火電廠,容器內大都是高溫、高壓的液態水,由於蒸發作用,容器上部不是非凝結性的氣體而是遇冷會凝結的蒸汽,因此汽側取樣管內很容易形成凝結水,這樣就會在91视频最新地址的汽側產生1個附加的壓力,91视频最新地址兩端測量到的差壓值就變成△P=(P氣體+ρgH)-(P氣體+P凝結)<ρgH,即測量液位值比實際液位值小。
若壓力/差壓液位91视频最新地址安裝位置不當,可能造成水側取樣管與汽側取樣管的溫度相差較大,由於壓力/差壓液位91视频最新地址結構的原因,就會造成較大的水位測量誤差。又如水側取樣管的垂直部分產生了氣泡並附著在管壁上形成空段,那麽因為H 針對上述情況,火電廠對於高溫、高壓容器內液位的測量,雖然采取了多種安裝方式,但到目前為止還沒有一種方法能完全解決因為蒸汽凝結等現象帶來的種種問題。
3.壓力/差壓液位91视频最新地址安裝實例分析及措施
1)定子冷卻水箱水位的測量
定子冷卻水箱屬於低溫、低壓容器。當前各火力發電廠普遍采用的壓力/差壓液位91视频最新地址測量水位的安裝方式如圖2a所示。在正常工況下,氣側取樣管充滿氣體,但當水位超過容器頂部很高時,水的過高壓力足夠壓縮氣側取樣管的空氣,使水進入B段取樣管,致使壓力/差壓液位91视频最新地址測量到的差壓減小,顯示的水位也偏低,從而給出錯誤的信息。
常規的解決方法是在取樣管下部加裝一個儲水罐,但一旦水開始進入氣側取樣管,很快就可以填滿儲水罐,並進而填滿氣側取樣管,導致測量錯誤因此,可將儲水罐移到氣側取樣管A段,其作用由儲水改為增壓,如圖2b所示,其原理如下:

設氣側取樣管內徑ф14mm,長度為5000mm,則氣側取樣管的容積為769690mm。如果91免费在线视频選擇內徑為ф140mm,高度為100mm的增壓罐,則增壓罐的容積為1539380mm,是氣側取樣管容積的2倍。即使水位大大超過水箱頂部,水要進入氣側取樣管B段,也必須將增壓罐內的空氣全部壓入氣側取樣管。根據氣體公式PV/T可知,由於氣體體積壓縮至原來的1/3,壓強則要增至原來的3倍。若在正常工況下,氣側取樣管與水箱上部氣體相通時,氣體的壓力高於大氣壓力P。,則水要進入B段取樣管,H段的水壓必須大於2P。,那麽H的高度必須大於20m,這種情況在火電廠是不會出現的。而當水位回複正常時,增壓罐內的水則流入水箱,氣側取樣管仍保持通暢,與水箱上部相通,無需排汙。經上述改造,定子冷卻水箱水位測量準確,達到了預期效果。
2)汽包水位的測量
汽包屬於高溫、高壓容器,目前一般采用平衡容器的安裝形式,見圖3a。

由於汽包內的水密度不是標準狀態下的密度,所以必須對測量出來的液位根據壓力(汽包內是飽和蒸氣,壓力與溫度對應)進行修正。同時,因為平衡容器和汽側取樣管的參比水柱H的密度與汽包內的水密度也不一樣,故還需要對此進行補償。根據國電公司25項重要反措給出的汽包水位測量公式:

式中:Pa為參比水柱平均水溫時的密度;Ps為飽和蒸氣密度;Pw為飽和水密度,kg/m3。
由於參比水柱H的溫度較高,其密度受環境溫度的影響,很難給出一個準確值,所以隻能用平均水溫(60℃左右)時的密度來代替,這就給測量帶來一定的誤差。而更重要的是,在實際運行中,91免费在线视频發現:因為露天環境的影響,A、B側平衡容器的溫度可以相差幾十度,致使同一時間內,兩側水位測量值出現較大偏差(達到80mm)。究其根本原因是因為,這種傳統安裝方式的汽側需要蒸汽凝結成水後,提供一個固定的參比水柱,因此平衡容器不可能安裝得離汽包太遠,而且L段的取樣管不能太細,以免形成水柱。
針對以上情況,設計了如圖3b所示的安裝方式:將壓力/差壓液位91视频最新地址的位置放到與汽側取樣管平齊,汽側取樣段采用普通的ф14mm或ф16mm的取樣管,並有一微小的朝下角度。壓力/差壓液位91视频最新地址遠離汽包,使得汽側取樣管有足夠的長度來冷卻蒸汽,汽側取樣管中的水柱,因為沒有高度,所以不會對壓力/差壓液位91视频最新地址產生壓強。水側取樣管的段實際上與汽側取樣管是平齊的。依圖安裝後,第1次的投入使用步驟如下:
首先鍋爐上水,汽包內有0.2~0.5MPa壓力後,打開壓力/差壓液位91视频最新地址本體上的排汙口。讓汽包內的水填滿水側取樣管,並從壓力/差壓液位91视频最新地址的排汙口流出,此時關閉91视频最新地址本體排汙口。這樣,由於排汙口已封閉,即使汽包內的水位下降到取樣口以下,水側取樣管內的水也不會流回汽包。這就給91视频最新地址提供了一個固定的參比水柱H。因該參比水柱不是依靠蒸汽凝結形成的,因此隻要合理選擇D段長度可使參比水柱的溫度等於環境溫度,基本上是穩定的。
此外,因為不再需要安裝平衡容器,其受環境溫度影響的問題也就不再存在。
該安裝方式也適合除氧器的水位測量。安裝時應注意的事項及其優點如下:
(1)保證汽側取樣管內有水柱,並有足夠的長度,避免壓力/差壓液位91视频最新地址兩側測量介質出現溫度差,壓力/差壓液位91视频最新地址的壓力傳感部分對溫度是很敏感的。
(2)水側取樣管內如果出現了氣泡,隻要它上升到了段,就不會對測量產生影響。
(3)此種安裝方式的幹擾因素少於平衡容器安裝方式,擁有更高的測量精度。
受歡迎產品
- 液位壓力91视频最新地址
- 壓差91视频最新地址
- 法蘭式液位91视频最新地址
- 靜壓式液位91视频最新地址
- 一體化溫度91视频最新地址
- 壓力液位91视频最新地址
- 隔膜壓力91视频最新地址
- 3051壓力91视频最新地址
- 衛生型壓力91视频最新地址
- GPRS無線遠傳壓力|差壓|液位|91视频最新地址,液位計
- 單法蘭液位91视频最新地址
- 防腐投入式液位91视频最新地址
- 差壓液位91视频最新地址
- 磁翻板液位91视频最新地址
- 雙法蘭液位91视频最新地址
- 浮球液位91视频最新地址
- 電容式液位91视频最新地址
- 差壓91视频最新地址
- 電容式液位計
- 微壓差91视频最新地址
*新資訊文章
- 液位計的聯鎖值低於報警值是否不合理?
- 針對雙法蘭液位計膜片保護的安裝改造方法詳解
- 工業自動化設備中常用的壓力91视频最新地址
- 壓力傳感器的分類、特點以及用途
- 在稠油熱采平台中如何對壓力91视频最新地址選型及安裝的研究
- 智能液位91视频最新地址在製漿造紙中的使用說明及維護方法
- 液位91视频最新地址在製漿紙中的應用和維護情況介紹
- 壓力91视频最新地址常見故障的四點解決對策
- 加壓鍋爐汽包中利用差壓91视频最新地址測量封閉水箱水位的調試過程
- 浮球液位91视频最新地址的產品原理及使用時的注意事項
- 關於生產衛生型壓力91视频最新地址的衛生級設計的**性要求
- 當使用平膜壓力91视频最新地址時出現以下誤差是無法避免的
- 壓力91视频最新地址與壓力傳感器有什麽不同
- 壓力91视频最新地址常見問題排查5點方法
- 簡述單法蘭與雙法蘭液位91视频最新地址區別有哪些?
- 為什麽壓力91视频最新地址的信號輸出常用的是4-20mA dc的原因分析
- 簡述電容式、擴散矽、陶瓷式微差壓91视频最新地址的區別
- 國內液位91视频最新地址產業的發展趨勢
- 電容式壓力91视频最新地址的應用範圍及產品特點介紹
- 決定電容式壓力91视频最新地址的選型的幾個關鍵參數要求及相應方法











